今天是2018年5月30日 星期一
无障碍
邮箱
地图
电话
公众号
EN
消毒
标准
首页
机构信息
本所介绍
现任领导
专家介绍
组织机构
大事记
监测调查
全国城市饮用水卫生监测
空气污染对人群健康影响监测
国家人体生物监测
公共场所健康危害因素监测
全国医院消毒与感染控制监测
环境健康综合监测
科教培训
科研信息
学术论文
交流合作
教育培训
法规标准
标准规范
技术材料
法律法规
期刊专著
图书专著
期刊杂志
党群工作
党建工作
纪检工作
群团工作
文化建设
当前位置:
首页
>
通知公告
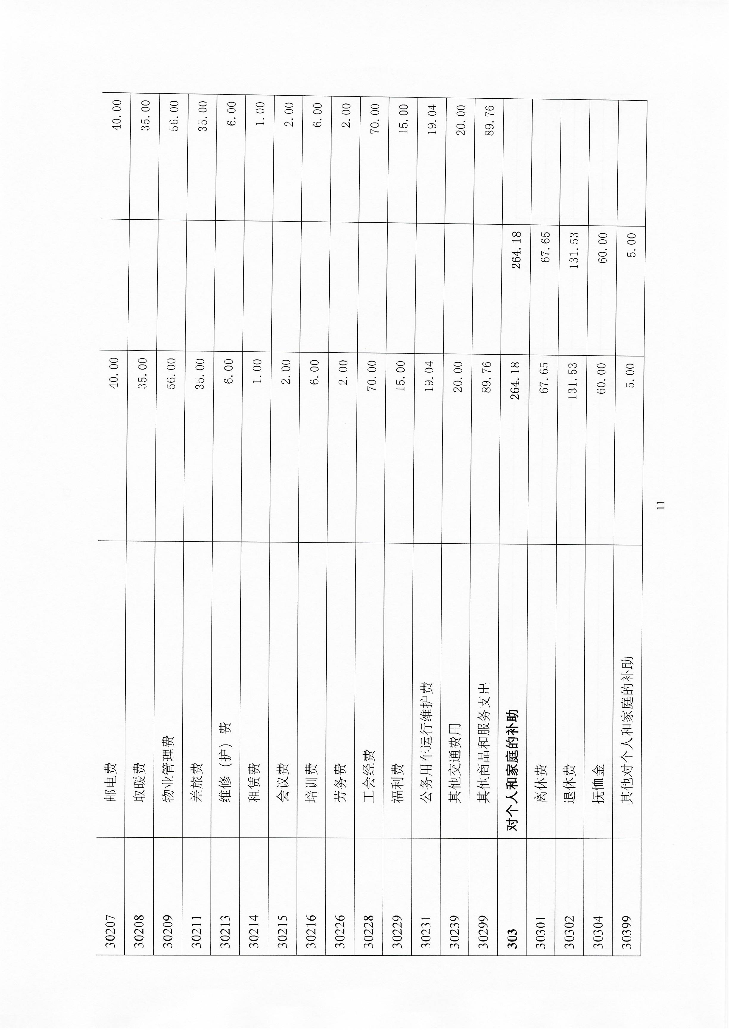
中国疾病预防控制中心环境所2024年部门预算公开
来源: 财务处
作者:
发布时间:2024-05-10
热点专题
低温雨雪天气,如何做好安全健康...
环境所赴内蒙古自治区开展环境卫...
环境所张伟副所长等专家赴四川开...
环境所张伟副所长等专家赴新疆开...
中国疾控中心环境所两名专家赴广...
相关新闻
中国疾病预防控制中心环境所2024...
中国疾病预防控制中心环境与人群...
中国疾病预防控制中心环境所2023...